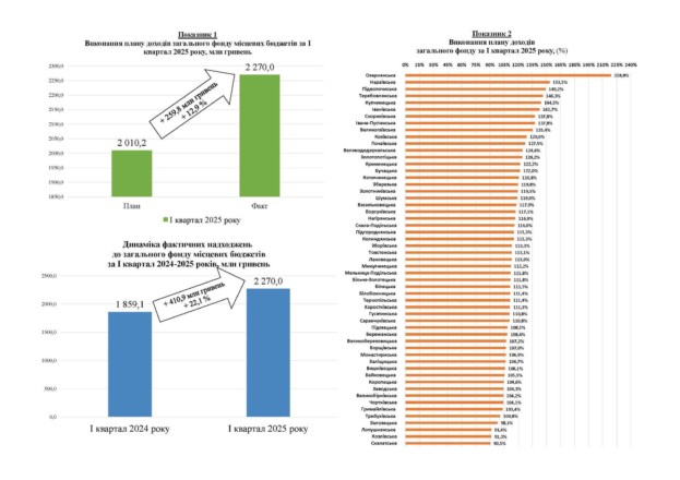
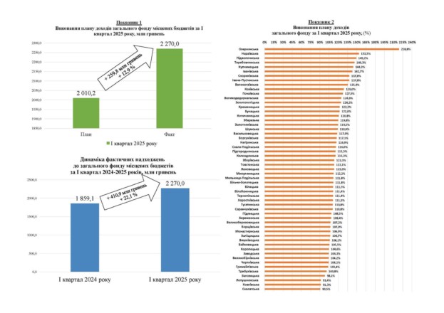
За підсумками І кварталу 2025 року, місцеві бюджети Тернопільської області поповнились на 2,27 млрд гривень власних доходів, що становить 112,9% від запланованого показника. Про це повідомляє Тернопільська обласна військова адміністрація.
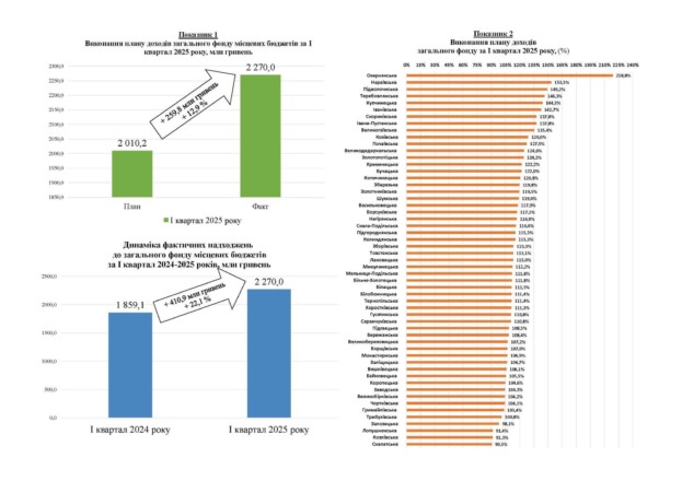
У порівнянні з аналогічним періодом 2024 року надходження зросли на 410,9 млн гривень або на 22,1%. Планові показники перевиконали 51 із 55 територіальних громад (92,7%), забезпечивши додатково 243,4 млн гривень. Водночас чотири громади не досягли планових обсягів: Лопушненська ТГ (91,4%), Скалатська ТГ (90,5%), Козлівська ТГ (91,3%) та Залозецька ТГ (98,1%).
У 50 громадах зафіксовано приріст доходів загального фонду на 358,4 млн гривень, що дорівнює 23,1%. Найбільші темпи зростання продемонстрували:
- Збаразька ТГ – +28 млн грн (+57,7%)
- Підволочиська ТГ – +13,2 млн грн (+57,5%)
- Підгаєцька ТГ – +11,3 млн грн (+49,5%)
- Козівська ТГ – +16,2 млн грн (+48,7%)
- Іване-Пустенська ТГ – +1,3 млн грн (+47,2%)
- Озернянська ТГ – +2,9 млн грн (+43,4%)
- Нагірянська ТГ – +3,1 млн грн (+41,7%)
Середній показник власних доходів на одного мешканця в області становить 1,8 тис. грн, що на 300 грн більше, ніж торік. Найвищі показники зафіксовано у таких громадах:
- Байковецька ТГ – 3,832 тис. грн
- Тернопільська ТГ – 2,977 тис. грн
- Великогаївська ТГ – 2,956 тис. грн
- Великобірківська ТГ – 2,750 тис. грн
- Великоберезовицька ТГ – 2,444 тис. грн
- Підгороднянська ТГ – 2,307 тис. грн
Більшість громад області (87,3%) отримують базову дотацію з державного бюджету. Реверсна дотація передбачена для 4 громад (7,3%), а 3 громади (5,4%) є фінансово самодостатніми.

У зв’язку з виконанням місцевих бюджетів, органам місцевого самоврядування рекомендовано:
- забезпечити досягнення річних доходів згідно з планом на 2025 рік;
- ефективно використовувати державні трансферти та своєчасно спрямовувати кошти на співфінансування;
- оперативно підготувати прогнози бюджетів на 2026–2028 роки відповідно до нового етапу середньострокового бюджетного планування.
Джерело: ПЕРШИЙ онлайн



